Меню
Кабінет споживача
Підприємство
Діяльність
Реквізити
Структура
Наглядова рада
Прийом громадян
Статут і установчі документи
Політика у сфері якості
Публічна інформація
Фінансова звітність
Відкриті дані
Вакансії
Споживач
Кабінет споживача
Тарифи
Контакт-центр
VIBER
Публічний договір
Абонентська плата
Повірка лічильників
Субсидія
Правила приймання стічних вод
Якість води
Послуги
Каталог послуг
Встановлення на облік
Інвестиції
Інвестиційні програми
Реконструкція очисних споруд
План розвитку
Закупівлі
Річний план закупівель
Документація по закупівлям
Повідомлення учасникам
Прес-центр
Новини
Профспілка
Інформаційна лінія
0800-30-15-86
e-mail: water@vodokanal.if.ua
покази населення e-mail: pokaznuk@vodokanal.if.ua
покази юридичних осіб e-mail: vetp@vodokanal.if.ua
/
Завантаження
Якість питної води із резервуарів чистої води (РЧВ) м. Івано-Франківська Березень 2021 р.
703
Завантаження
Завантажити
План розвитку комунального підприємства Івано-Франківськводоекотехпром на 2021 рік
1082
Завантаження
Завантажити
План розвитку комунального підприємства Івано-Франківськводоекотехпром на 2020 рік
1423
Завантаження
Завантажити
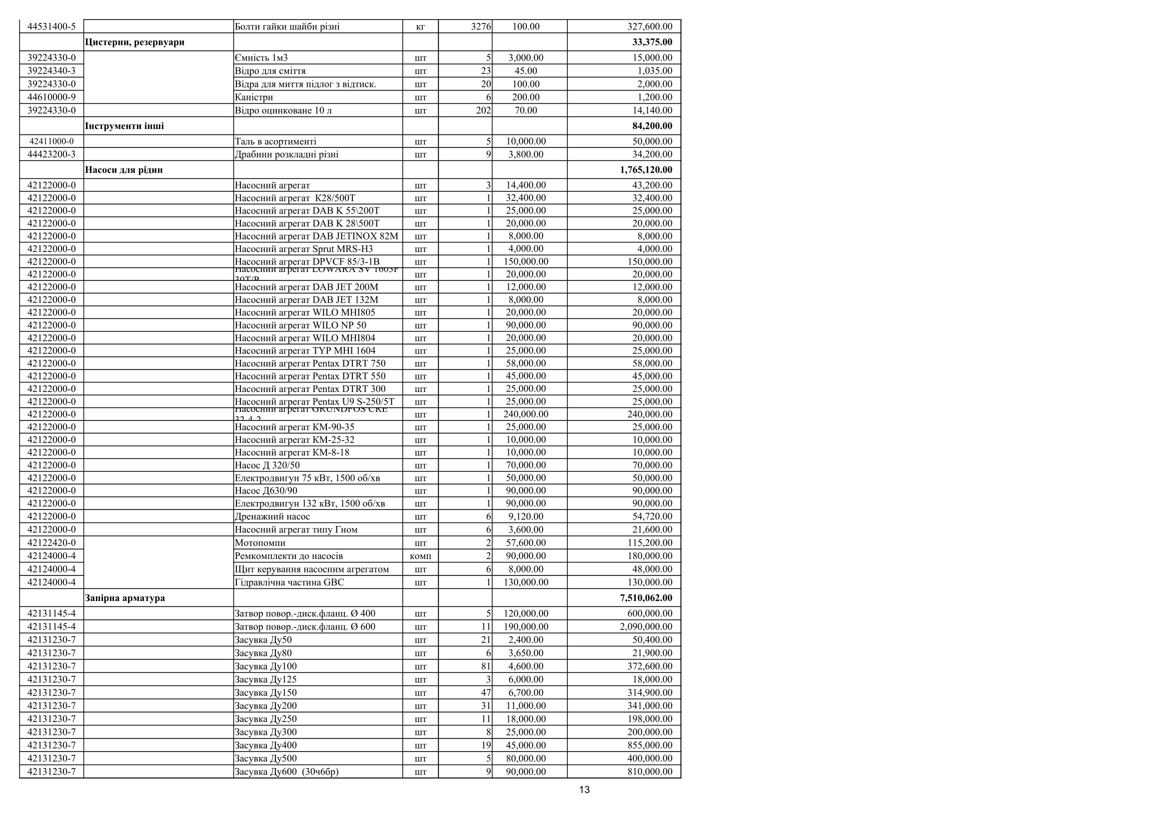
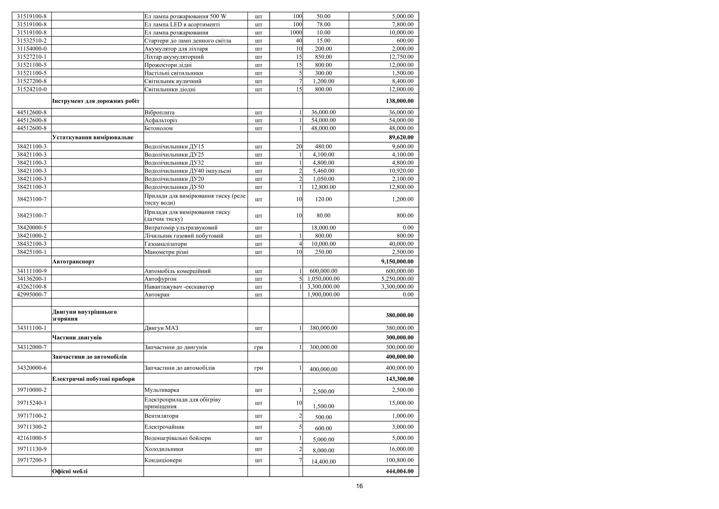
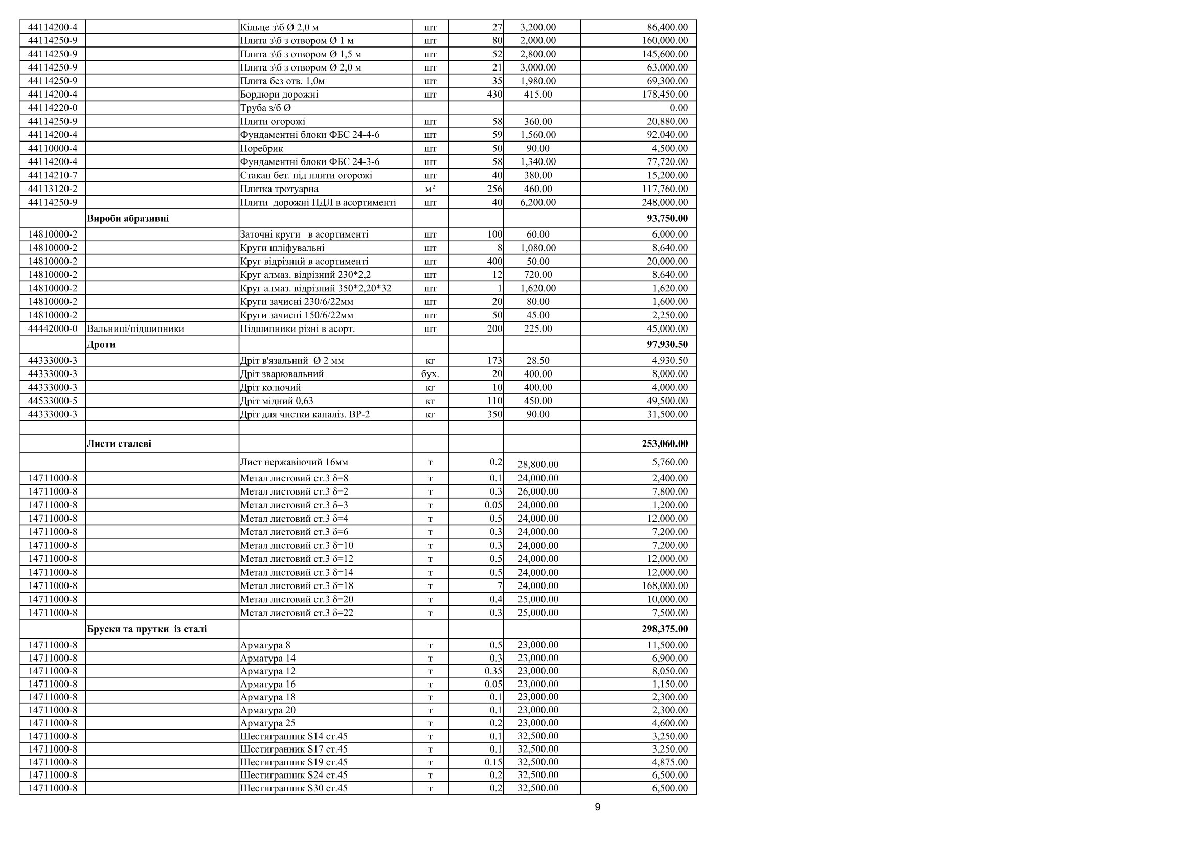
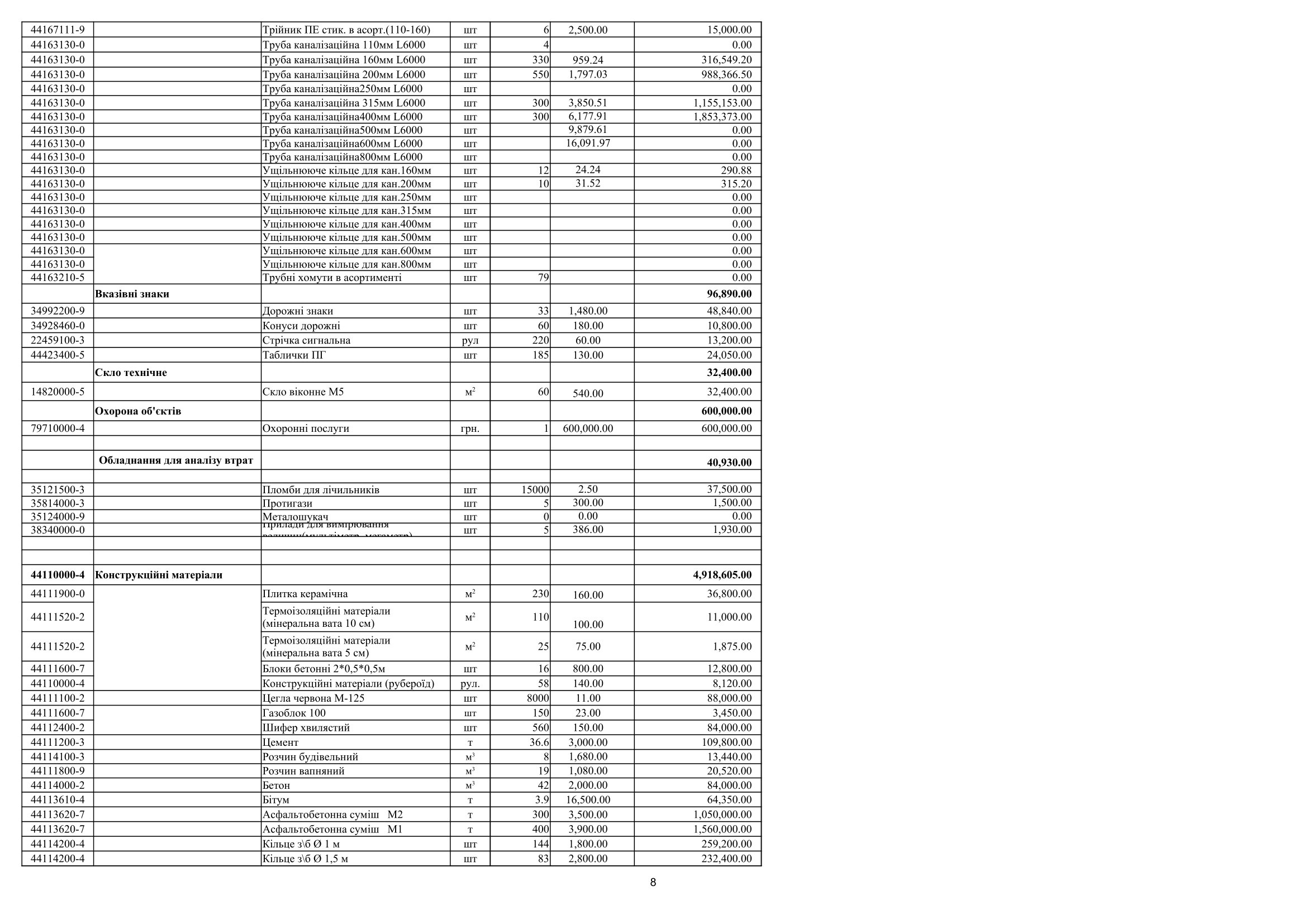
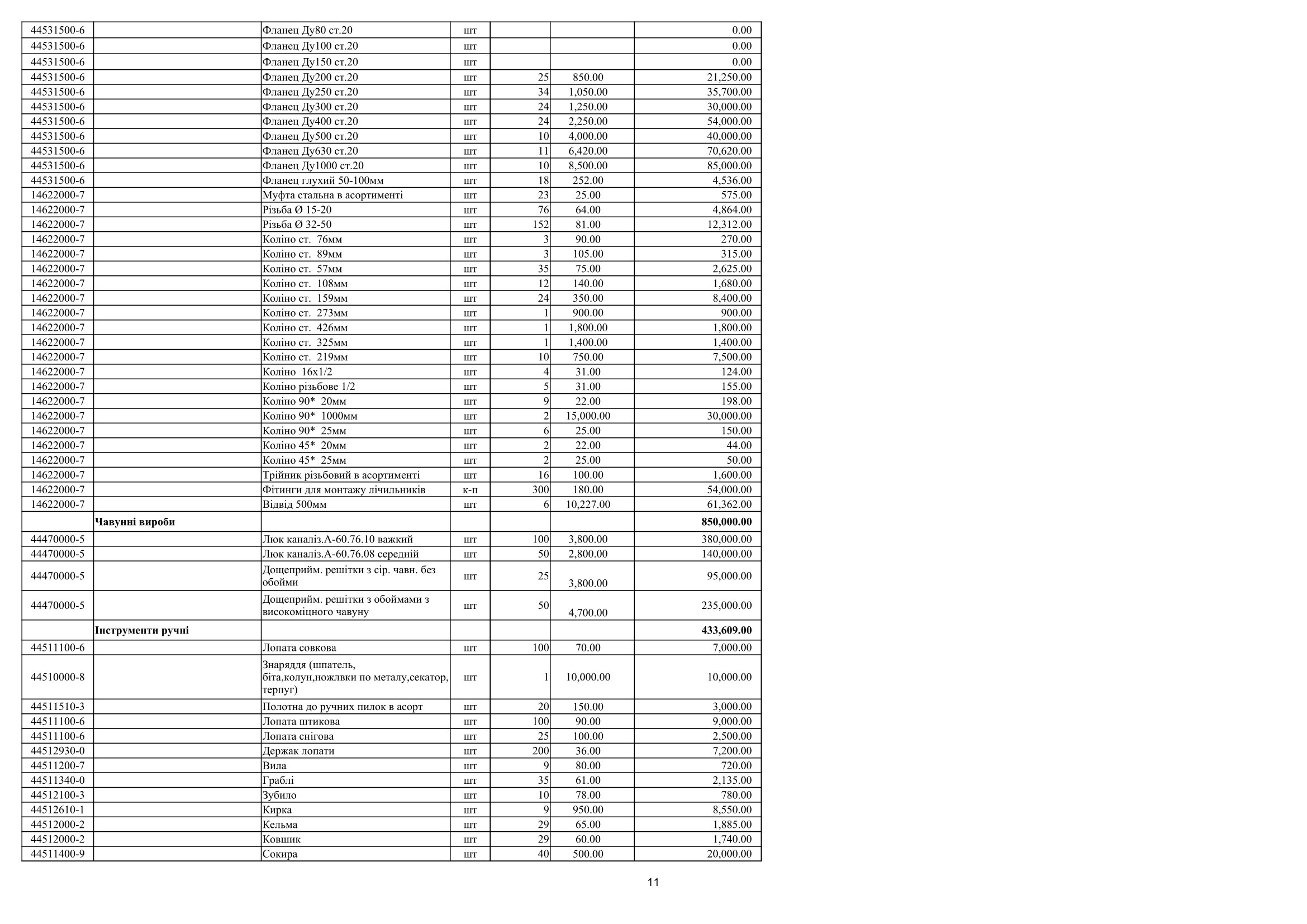
План закупівель на 2020 рік
957
Завантаження
Завантажити
808
Завантаження
Завантажити
791
Завантаження
Завантажити
766
Завантаження
Завантажити
781
Завантаження
Завантажити
754
Завантаження
Завантажити
760
Завантаження
Завантажити
←
1
…
11
12
13
14
15
16
17
…
19
→