Меню
Кабінет споживача
Підприємство
Діяльність
Реквізити
Структура
Наглядова рада
Прийом громадян
Статут і установчі документи
Політика у сфері якості
Публічна інформація
Фінансова звітність
Відкриті дані
Вакансії
Споживач
Кабінет споживача
Тарифи
Контакт-центр
VIBER
Публічний договір
Абонентська плата
Повірка лічильників
Субсидія
Правила приймання стічних вод
Якість води
Послуги
Каталог послуг
Встановлення на облік
Інвестиції
Інвестиційні програми
Реконструкція очисних споруд
План розвитку
Закупівлі
Річний план закупівель
Документація по закупівлям
Повідомлення учасникам
Прес-центр
Новини
Профспілка
Інформаційна лінія
0800-30-15-86
e-mail: water@vodokanal.if.ua
покази населення e-mail: pokaznuk@vodokanal.if.ua
покази юридичних осіб e-mail: vetp@vodokanal.if.ua
/
Завантаження
/
Річний план закупівель
Річний план закупівель
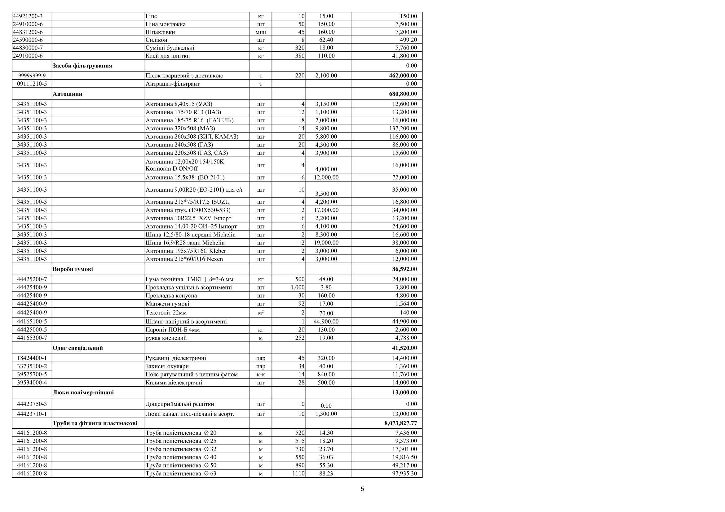
План закупівель на 2020 рік
957
Завантаження
Завантажити
807
Завантаження
Завантажити
789
Завантаження
Завантажити
766
Завантаження
Завантажити
781
Завантаження
Завантажити
753
Завантаження
Завантажити
760
Завантаження
Завантажити
760
Завантаження
Завантажити
738
Завантаження
Завантажити
769
Завантаження
Завантажити
1
2
→